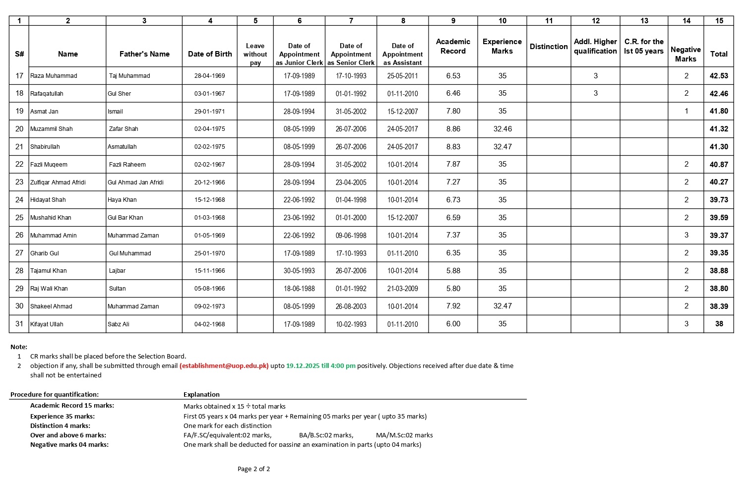
DETAILED EVALUATION/MERIT PROFORMA OF THE APPLICANTS FOR SELECTION OF ELIGIBLE CANDIDATES FOR THE POST OF SUPERINTENDENT(S) (BPS-17). Objection if any, shall be submitted through email (establishment@uop.edu.pk) upto 19.12.2025 till 4:00 pm positively.
Click Here To download Evaluation Proforma
Objection if any, shall be submitted through email (establishment@uop.edu.pk) upto 19.12.2025 till 4:00 pm positively.


